
(1)
—— i面的吸收率。
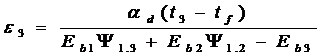
3(Eb.1 F1ψi.3+ Eb.2 F2ψ2.3+ε3Eb.3 F3)
3=ε3;ψ3.2=ψ1.2 又根據角系數的互換性F2ψ2.3= F3ψ3.2 ,則:
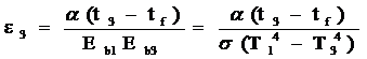
(t3tf)(3)
——換熱系數
(4)
(5)
;
(6)
(7)
(8)
受——受體與環(huán)境的溫差。
0——黑體與環(huán)境的溫差。
——受體為被測物體時的熱源絕對溫度。|
序號
N0
|
熱源 ℃ |
傳導 ℃ |
受體(紫銅光面) ℃ |
備注 | |
| 1 | 2 | ||||
|
1 2 3 |
室溫℃ | ||||
| 平均 ℃ | |||||
|
序號 N0 |
熱源 ℃ |
傳導 ℃ |
受體(紫銅薰黑) ℃ |
||
| 1 | 2 | ||||
|
1 2 3 |
|||||
| 平均 ℃ | |||||




品牌理念
標準流程
有效溝通
專業(yè)管理
優(yōu)秀團隊
品質保證
無憂售后
生產基地:上海松江葉榭工業(yè)園
業(yè)務電話:021-56311657 , 56411696 , 業(yè)務傳真:021-56411696 公司郵箱:shanghaimaoyu@126.com 教學設備廠 滬公網安備 31010702001294 號 滬ICP備13020377號-1 |